编译器优化那些事儿(3):Lazy Code Motion原创
大纲
如何优化编译器第三篇:通过代码移动(插入)的方式消除冗余计算
0、导语
本文中,我们将介绍通过代码移动(插入)的方式消除冗余计算的一个典型方法。
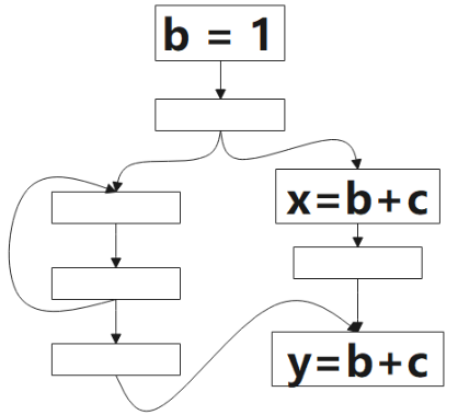
下图给出的简要程序流图中, ①是我们想要优化的代码,②和③是优化后的代码,让我们先思考下面几个问题:
-
②和③哪个优化效果更好一点?
③ 更好一点,相比 ② 寄存器生存周期更短 -
③这种情况,在 p点直接插入t=b+c会带来安全或性能问题吗? 会改变程序的行为吗?
这里不会引入冗余的计算,也没有改变程序行为。但如果p是下文介绍的非预期的点,我们就需要使用在临界边上增加合成块的方式避免这个问题了。 -
能否由编译器来完成一个算法,找到一个通用的、寻找到合适的插入点的方法以消除冗余计算?
这是本文要介绍的内容,我们会在下面算法章节引入四个定义,为程序在各个点上打上标签,通过这些点的集合之间的运算,得到插入点的集合。
0.1 开始之前
介绍算法之前,我们来看三个在写应用层代码时可能会遇到的问题。
-
我们可以把计算移动到不会重复计算的路径吗?
答案已在图中给出:
-
左边例子是可以的。这也是下文算法要找的情景。当然实际应用程序中会更复杂,以致我们不能明显看出或不经意间引入冗余的计算,比如 《Lazy code motion》 1 里给出的例子。 -
中间不可以,因为 b 被重新定义了,所以 a = b + c不是冗余计算了。 -
右边不可以,因为 a = b + c可能一次也没执行,移动到循环前可能会改变程序的行为。 -
左图到右图的变化有优化效果吗?
有的,这也是下面算法中要寻找的情景,左边的路径消除了一次冗余计算,右边为了保持程序正确性插入了一个计算,但并没有引入冗余的计算,所以总体是有优化的。 -
下图中,能否在 block d 的父项
p上插入表达式t=b+c?
不能,因为插入不能改变程序的行为: 这里t=b+c可能难以看出问题,但如果表达式换成b/c(c==0) 或b^c就能明显的看到造成了运行问题或性能问题。解决方法 :可在 临界边(Critical Edge)上增加合成块(Synthetic Block)。
0.2 临界边(Critical Edge)的定义
定义:源基本块有多个后继,目标基本块有多个前驱,连接它们的边就叫临界边(Critical Edge)。
临界边如上图红色部分所示。
打破临界边(Critical Edge)的办法:增加合成块(Synthetic Block)
步骤:
-
为每个指向拥有多个前置的基本块添加一个基本块(不仅仅是在 临界边上)。 -
为了保持算法简单,将每个语句视为其自己的基本块,并将指令的放置限制在基本块的开头。
上图中我们插入了两个合成块,其中一个是多余的,但不用担心,我们可以在最后消除它。
1、算法
上文中,我们介绍了一个可以放心插入表达式而不会引入安全问题的方法,下面我们将正式介绍导语中提到的算法。
部分冗余消除算法要尽可能延迟计算, 这也是标题中 lazy 的含义。
程序流程图如下:
算法步骤:
-
首先计算预期表达式( Anticipated)集合 -
计算将可用的表达式( Will-be-Available)集合 -
从 AVAIL 和 ANT ,我们为每个表达式计算出最早的插入位置( Earliest)集合,这最大限度地消除了冗余,但可能会增大寄存器生存期 -
再计算延迟表达式( Postponable)集合 -
经过上面的计算,引入 Latest的定义,计算最晚插入的点的集合,实现与earliest相同数量的冗余消除,但缩短了保存表达式值的寄存器的生存期 -
计算使用表达式( Used) -
计算最后的插入位置的集合,替换冗余表达式
我们会以下图为例,说明整个计算过程。根据以往的经验,下面给出的几个公式,必须结合图例去理解,文字无法阐述清楚准确定义。
1.1 预期表达式(Anticipated)
Anticipated:An expression 𝑒 is said to be anticipated at program point 𝑝 if all paths leading from 𝒑 eventually computes 𝒆 (from the values of 𝑒’s operands that are available at 𝑝).
预期表达式(Anticipated)的分析方向为后向(backword)。
1 表示该点是可预期的(
Anticipated),0 表示不是。该算法的方向是 后向(backword)的,对应到图中,我们要从p1开始判断:对于表达式b+c而言,p1是非预期的,因为到该点为止,没有b+c的计算,继续往上,看到了b+c的计算,所以p2点是可预期的(Anticipated),这情况一直持续到p3,到p4,由于该点看到了b=1,b被重新定义了,就是公式里被 Kill 的表达式,所以p4点不是可预期的(Anticipated)点。
1.2 将可用的表达式(Will-be-Available)
Will-be-available:An expression 𝑒 is said to be will-be-available at program point 𝑝 if it is anticipated and not subsequently killed along all paths reaching 𝒑.
将可用的表达式(Will-be-Available)的分析方向为前向(forward)。
图中绿色的 1 表示表达式
b+c该点是将可用的(Will-be-Available),0 表示不是。该算法方向是前向的,就是分析时,我们从p4开始看,根据公式的定义,该点不是可预期的(Anticipated),也没有计算表达式b+c,所以该点不是将可用的(Will-be-Available),p3虽然是可预期的(Anticipated),但因为b=1,所以p3点对表达式b+c来说是 Ekillp ,所以该点仍不是将可用的,p5点是可预期的(Anticipated),且该点没有 kill 的操作,该点是将可用的(Will-be-Available),后续的点类似。
接下来可以通过以下公式进行最早插入点的计算:
根据公式,最早可插入的点的集合是 可预期点的(
Anticipated)集合(图中红色1部分) 减去 将可用点的(Will-be-Available)集合,得到图中标记的点。
目前为止我们已经找了一种通用的消除重复计算的方法,就是在上图中标注 Earliest 的点插入表达式 t=b+c, 然后在后面所有用到 b+c 的地方替换成 t,但这样做会带来一个问题,就是寄存器的生存期会很长。通过下一小节引入的定义,我们可以解决这个寄存器生存期的问题。
1.3 延缓表达式(Postponable)
An expression 𝑒 is said to be postponable at program point 𝑝 if all paths leading to 𝒑 have seen earliest placement of 𝒆 but not a subsequent use.
延缓表达式(Postponable)的分析方向为前向(forward)。
延迟创建冗余计算表达式可以减少寄存器压力:从公式看,Postponable点一定是在 Earliest 点的后面的,更接近表达式要被替换的地方,就是说,从表达式第一次被计算的点(结果在寄存器)到该结果被复用的点距离更近。
对于该图的讲解,可以参考 YouTube2 中的讲解。
接下来可以通过以下公式进行最晚插入点(Latest)的计算:
-
先在 Earliest与postpobable集合的并集位置放置表达式e。 -
对上一步的点进行筛选,需要满足:表达式 e在b点(随后的基本块)被Use 或 它不是上一步点的后继。
这里插入的点(图中**方块)是增加的合成块,是出于安全性的考虑。
1.4 已用表达式(Used Expressions)
An expression 𝑒 is said to be used at program point 𝑝 if there exists a path leading from 𝒑 that uses the expression before the operands are reevaluated.
已用表达式(Used Expressions)的分析方向为后向(backword)。
如图所示,从下往上看,未使用的点标记为0,直到使用的地方被标记为1。
引入这个定义主要是为了消除当前块之外未使用的临时变量赋值,计算方式:Used.out[b]: sets of used (live) expressions at exit of b.
2、最终的解决方案
对所有的基本块/表达式 b,如果表达式属于最晚插入点的集合或已用点位置的集合,则在基本块b的开头,先创建 t = a + b,然后把所有的 x+y 替换为 t。
目前为止算法的介绍部分就已经全部讲完了,但是有些定义还是比较模糊,需要结合代码才能讲清楚, 大家可以翻看LLVM 源码3中关于该代码的具体实现:MachineCSE 类与 NaryReassociatePass 等类的实现。
参考
1. https://dl.acm.org/doi/abs/10.1145/143095.143136
2. https://www.youtube.com/watch?v=3s4oST3oZzQ&t=20s
3. https://github.com/llvm/llvm-project
后记
欢迎加入Compiler SIG交流群与大家共同交流学习编译技术相关内容,扫码添加小助手微信邀请你进入Compiler SIG交流群。
