编译器优化那些事儿(9):Machine Outliner原创
Machine Outliner简介
在嵌入式领域,代码体积(code size)优化能够减少内存的使用,对产品的竞争力至关重要。对当代产品而言, code size优化可以为产品放入更多特性,增强竞争力;对下一代产品而言,code size优化能够带来产品功耗和成本的竞争力提升[1]。LLVM Machine Outliner是一种编译器优化技术,可以识别重复代码片段,将其提取出来并转换成一个独立的函数,从而降低程序code size。
示例
通过以下代码示例,描述是否开启Machine Outliner优化的效果:
int div(int x) {
int a = x / 2;
int b = x;
return b / a;
}
int sub(int x) {
int a = x / 2;
int b = x;
return b - a;
}
以上代码片段由div和sub两个函数组成,通过函数参数x,对变量a和b赋值,然后分别返回b和a相除,以及b和a相减的结果。其中,关于变量a、b赋值部分为重复代码片段。
是否开启Machine Outliner优化,在汇编层面的区别如下表所示:
| 未开启Machine Outliner | 开启Machine Outliner |
|---|---|
|
|
|
如果不开启Machine Outliner优化,则会分别在标签div和sub下生成相关的重复汇编指令。开启Machine Outliner优化,则会将重复指令提取为单独的函数,并且在重复指令初始位置添加函数调用,从而降低程序code size。在编译阶段,可以通过使用 -mllvm -enable-machine-outliner=always 选项开启Machine Outliner优化,提取出的函数统一以“OUTLINED_FUNCTION_n”的形式命名。
后缀树
Machine Outliner优化依靠后缀树(Suffix Tree)的形式进行重复指令序列的识别,后缀树的构造和重复字符串查询操作均可在线性时间复杂度内完成,从而实现了Machine Outliner优化的效率提升。
后缀树是一种将字符串所有后缀存储在一棵树中的数据结构,目的是用来支持快速搜索和大量字符串匹配和查询,能高效解决很多关于字符串的问题[2]。字符串S对应的后缀树,也就是由该字符串所有后缀所共同构成的压缩字典树。
字典树(Trie)是一种树形数据结构,其中每条边用来表示一个字符,且每个节点出边对应的字符都不相同,将根节点到某一节点路径上所经过的字符拼接起来,即为该节点所表示的字符串。压缩字典树(Compressed Trie)由字典树演变而来,将字典树中的单节点链条压缩为一个节点,即将相邻的具有相同前缀的节点合并,可得到对应的压缩字典树。字符串“ABD$0”对应的字典树和压缩字典树如下所示:
后缀树的构建需要经过字符串后缀生成和压缩字典树构建两步:
-
生成字符串S的所有后缀,以“ABCAB$0”(“$0”是结束字符)为例,该字符串的所有后缀为:
ABCAB$0
BCAB$0
CAB$0
AB$0
B$0
$0 -
为以上所有后缀生成字典树,并且合并节点生成相应的压缩字典树:
字典树 压缩字典树
令字符串S的长度为n,通过构建字符串S所对应的后缀树,即可在O(n)时间复杂度内,完成字符串重复次数,以及重复字符串长度的检索[3]。
重复次数搜索:假设字符串T在字符串S中重复次数为m,则字符串S应有m个后缀以字符串T为前缀,即字符串T所对应节点的叶节点数量为其重复次数。
重复字符串长度搜索:由于重复字符串出现次数大于1,所以字符串T在后缀树中一定以非叶节点的形式表示,字符串T的长度为该非叶节点到根节点所经过的字符总数。
编译器实现
LLVM对于Machine Outliner的实现在寄存器分配之后,主要集中在MachineOutliner.cpp中,基于机器指令表示(MIR)进行函数的分析和提取,以实现程序code size优化。
编译器侧的实现过程可划分为指令映射、后缀树构建和函数提取三个阶段:
-
将指令映射成特定的无符号数,并以指令-无符号数对的形式存储在Map中; -
以无符号数组为输入构建指令序列对应的后缀树,并且找出所有长度大于2的重复指令序列; -
遍历后缀树并进行收益计算,从而得到包含正收益序列的候选列表,对于具备收益的候选项进行函数外提。
指令映射
首先需要遍历源文件对应的所有指令,将所有合法指令映射为无符号数(InstrNumber),并以指令-无符号数对的形式存储在Map中,如果两条指令的操作码和操作数均相同,则认为两条指令相同。对于所访问的每条指令,首先应该在Map中查询是否已经存储了相同的指令,如果是,则返回对应的InstrNumber;否则,将该指令插入到Map中,InstrNumber自加。至此,所有指令均以无符号数的形式进行唯一标识,以作为构建后缀树的输入。而对于读写栈指针、PC相关,以及其他与call、ret指令有数据依赖的指令,将被判定为非法指令,为保证程序运行的正确性,这些指令不参与上述映射过程。
后缀树构建
假定将无符号数以字符形式表示,以指令映射输出的无符号数组为输入,通过添加终结符和构建后缀树,即可在线性时间复杂度内,完成字符串S的所有重复子字符串长度、重复次数和起始下标的计算[4],这些重复字符串将以候选列表的形式输出。
-
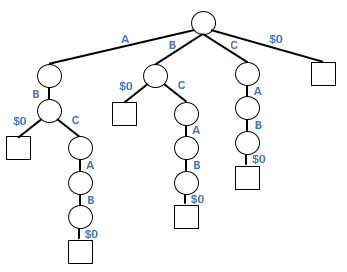
以第2节所示汇编指令为例,经过指令映射和添加终结符后可得到字符串S:
ABCDEFG$0ABCDEH$1,其中添加终结符可避免跨函数指令序列提取。 -
以字符串S为输入,构建后缀树:
令ABCDE所指向的节点为P,单个字符所表示的距离为1,则节点P到根节点的距离为5,大于其他非叶节点到根节点的距离,因此ABCDE为字符串S中的最长重复子字符串T。节点P有两个子节点,因此字符串T的重复次数为2,且T在S中的起始下标分别为[0,4],[8,12]。
函数提取
完成后缀树构建和重复字符串解析后,还需要对提取该重复字符串对应的指令序列进行code size收益计算,计算公式如下:
codesize_benefit = codesize_before - codesize_after
codesize_before = 指令序列重复次数 * 指令序列codesize
codesize_after = 插入call指令的codesize + 指令序列codesize + 插入ret指令的codesize
如果收益大于1,则提取同一重复字符串对应的所有指令序列,以构造outline函数,并在函数末尾额外添加ret指令。而对于重复字符串指向的下标位置,需要删除初始指令序列,并且通过call指令增加对outline函数的调用。
总结
本文对Machine Outliner的基本概念和实现方法进行了简单介绍,通过将所有指令映射成为无符号数,并且以后缀树的形式对重复指令序列进行高效识别,最后提取具有正收益的指令序列作为outline函数,实现程序code size优化,从而提高代码的可读性并且减少程序的内存占用。
在源码中大量使用宏、模板,以及循环展开的场景下,开启Machine Outliner优化将会获得明显的code size收益;而对于程序本身code size很小、结构化设计良好,或者包含大量违反外提约束的情况,Machine Outliner对code size的优化效果不显著。此外,在LLVM14及更高版本上,完成了多次outline的实现[5],相比于本文所述的单次outline,能够进一步实现code size提升。
参考文献
-
Chabbi M, Lin J, Barik R. An experience with code-size optimization for production iOS mobile applications[C]//2021 IEEE/ACM International Symposium on Code Generation and Optimization (CGO). IEEE, 2021: 363-377.
-
Bieganski P, Riedl J, Carlis J V, et al. Generalized suffix trees for biological sequence data: applications and implementation[C]//HICSS (5). 1994: 35-44.
-
Schneider J G, Mandile P, Versteeg S. Generalized suffix tree based multiple sequence alignment for service virtualization[C]//2015 24th Australasian Software Engineering Conference. IEEE, 2015: 48-57.
-
https://www.llvm.org/devmtg/2016-11/Slides/Paquette-Outliner.pdf
-
Support repeated machine outlining, December 2019, [online] Available: https://reviews.llvm.org/D71027.
Compiler SIG 专注于编译器领域技术交流探讨和分享,包括 GCC/LLVM/OpenJDK 以及其他的程序优化技术,聚集编译技术领域的学者、专家、学术等同行,共同推进编译相关技术的发展。
扫码添加 SIG 小助手微信,邀请你进 Compiler SIG 微信交流群。
